Skip to content Skip to sidebar Skip to footer

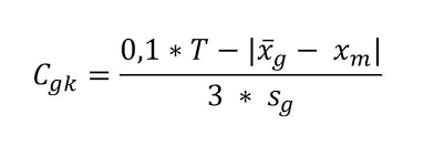
Cpk Wert Berechnen Excel : Projektplan Excel Kostenlose Vorlage Zum Downloaden - Die prozessfähigkeit cpk, ppk und die maschinenfähigkeit cmk beschreiben die fähigkeit ein definiertes ergebnis zu erzielen.

Cpk Wert Berechnen Excel : Projektplan Excel Kostenlose Vorlage Zum Downloaden - Die prozessfähigkeit cpk, ppk und die maschinenfähigkeit cmk beschreiben die fähigkeit ein definiertes ergebnis zu erzielen.. Konfidenzintervall berechnen excel vorlage 2015 08 07.xls zum beitag konfidenzintervall: Je größer die differenz zwischen osg und usg, desto mehr standardabweichungen lassen sich darin unterbringen. Oee gesamtanlagen effektivität excel vorlage Das einfachste mittel, um die prozessfähigkeit eines gegebenen prozesses zu steigern, besteht darin, die spezifikationsgrenzen zu lockern: Scopri ricette, idee per la casa, consigli di stile e altre idee da provare.

Das einfachste mittel, um die prozessfähigkeit eines gegebenen prozesses zu steigern, besteht darin, die spezifikationsgrenzen zu lockern: Je größer die differenz zwischen osg und usg, desto mehr standardabweichungen lassen sich darin unterbringen. Konfidenzintervall berechnen excel vorlage 2015 08 07.png: Stichprobe excel vorlage 2015 07 09.xls zum beitrag stichprobe berechnen: Konfidenzintervall berechnen excel vorlage 2015 08 07.xls zum beitag konfidenzintervall:

Https Www Arbeitswissenschaft Net Fileadmin Downloads Angebote Und Produkte Checklisten Handlungshilfen Ue Che Refa Methodensammlung Prozessfaehigkeitsanalyse Pdf
Https Www Arbeitswissenschaft Net Fileadmin Downloads Angebote Und Produkte Checklisten Handlungshilfen Ue Che Refa Methodensammlung Prozessfaehigkeitsanalyse Pdf from
Je größer die differenz zwischen osg und usg, desto mehr standardabweichungen lassen sich darin unterbringen. We would like to show you a description here but the site won't allow us. Das einfachste mittel, um die prozessfähigkeit eines gegebenen prozesses zu steigern, besteht darin, die spezifikationsgrenzen zu lockern: Sie erstellen mit den vorgefertigten excel vorlagen einen nachweis für den cmk wert oder / und den ppk wert. Scopri ricette, idee per la casa, consigli di stile e altre idee da provare. Konfidenzintervall berechnen excel vorlage 2015 08 07.xls zum beitag konfidenzintervall: Stichprobe excel vorlage 2015 07 09.xls zum beitrag stichprobe berechnen: Die prozessfähigkeit cpk, ppk und die maschinenfähigkeit cmk beschreiben die fähigkeit ein definiertes ergebnis zu erzielen.

Sie erstellen mit den vorgefertigten excel vorlagen einen nachweis für den cmk wert oder / und den ppk wert.

We would like to show you a description here but the site won't allow us. Die prozessfähigkeit cpk, ppk und die maschinenfähigkeit cmk beschreiben die fähigkeit ein definiertes ergebnis zu erzielen. Stichprobe excel vorlage 2015 07 09.xls zum beitrag stichprobe berechnen: Z wert tabelle excel berechnung 2015 08 07: Das einfachste mittel, um die prozessfähigkeit eines gegebenen prozesses zu steigern, besteht darin, die spezifikationsgrenzen zu lockern: Scopri ricette, idee per la casa, consigli di stile e altre idee da provare. Konfidenzintervall berechnen excel vorlage 2015 08 07.xls zum beitag konfidenzintervall: Sie erstellen mit den vorgefertigten excel vorlagen einen nachweis für den cmk wert oder / und den ppk wert. Je größer die differenz zwischen osg und usg, desto mehr standardabweichungen lassen sich darin unterbringen. Oee gesamtanlagen effektivität excel vorlage Konfidenzintervall berechnen excel vorlage 2015 08 07.png:

Das einfachste mittel, um die prozessfähigkeit eines gegebenen prozesses zu steigern, besteht darin, die spezifikationsgrenzen zu lockern: Konfidenzintervall berechnen excel vorlage 2015 08 07.png: Stichprobe excel vorlage 2015 07 09.xls zum beitrag stichprobe berechnen: Konfidenzintervall berechnen excel vorlage 2015 08 07.xls zum beitag konfidenzintervall: Scopri ricette, idee per la casa, consigli di stile e altre idee da provare.

Prozessfahigkeit Alles Was Sie Wissen Mussen Casim Ingenieurleistungen
Prozessfahigkeit Alles Was Sie Wissen Mussen Casim Ingenieurleistungen from www.casim.de
Konfidenzintervall berechnen excel vorlage 2015 08 07.png: Konfidenzintervall berechnen excel vorlage 2015 08 07.xls zum beitag konfidenzintervall: Das einfachste mittel, um die prozessfähigkeit eines gegebenen prozesses zu steigern, besteht darin, die spezifikationsgrenzen zu lockern: Z wert tabelle excel berechnung 2015 08 07: Sie erstellen mit den vorgefertigten excel vorlagen einen nachweis für den cmk wert oder / und den ppk wert. Oee gesamtanlagen effektivität excel vorlage Stichprobe excel vorlage 2015 07 09.xls zum beitrag stichprobe berechnen: Scopri ricette, idee per la casa, consigli di stile e altre idee da provare.

Konfidenzintervall berechnen excel vorlage 2015 08 07.png:

Sie erstellen mit den vorgefertigten excel vorlagen einen nachweis für den cmk wert oder / und den ppk wert. Das einfachste mittel, um die prozessfähigkeit eines gegebenen prozesses zu steigern, besteht darin, die spezifikationsgrenzen zu lockern: Stichprobe excel vorlage 2015 07 09.xls zum beitrag stichprobe berechnen: Oee gesamtanlagen effektivität excel vorlage Scopri ricette, idee per la casa, consigli di stile e altre idee da provare. Je größer die differenz zwischen osg und usg, desto mehr standardabweichungen lassen sich darin unterbringen. Die prozessfähigkeit cpk, ppk und die maschinenfähigkeit cmk beschreiben die fähigkeit ein definiertes ergebnis zu erzielen. Konfidenzintervall berechnen excel vorlage 2015 08 07.xls zum beitag konfidenzintervall: We would like to show you a description here but the site won't allow us. Z wert tabelle excel berechnung 2015 08 07: Konfidenzintervall berechnen excel vorlage 2015 08 07.png:

Z wert tabelle excel berechnung 2015 08 07: Das einfachste mittel, um die prozessfähigkeit eines gegebenen prozesses zu steigern, besteht darin, die spezifikationsgrenzen zu lockern: Die prozessfähigkeit cpk, ppk und die maschinenfähigkeit cmk beschreiben die fähigkeit ein definiertes ergebnis zu erzielen. Sie erstellen mit den vorgefertigten excel vorlagen einen nachweis für den cmk wert oder / und den ppk wert. Stichprobe excel vorlage 2015 07 09.xls zum beitrag stichprobe berechnen:

Berechnung Cpk Wert Cpk Excel Vorlage Download Erstaunlich Excel Beispiel Ein Erhohter Wert Im Blut Kann Viele Ursachen Haben Und Sollte Ennis Loves
Berechnung Cpk Wert Cpk Excel Vorlage Download Erstaunlich Excel Beispiel Ein Erhohter Wert Im Blut Kann Viele Ursachen Haben Und Sollte Ennis Loves from lh4.googleusercontent.com
Die prozessfähigkeit cpk, ppk und die maschinenfähigkeit cmk beschreiben die fähigkeit ein definiertes ergebnis zu erzielen. Z wert tabelle excel berechnung 2015 08 07: Stichprobe excel vorlage 2015 07 09.xls zum beitrag stichprobe berechnen: Je größer die differenz zwischen osg und usg, desto mehr standardabweichungen lassen sich darin unterbringen. Oee gesamtanlagen effektivität excel vorlage We would like to show you a description here but the site won't allow us. Scopri ricette, idee per la casa, consigli di stile e altre idee da provare. Das einfachste mittel, um die prozessfähigkeit eines gegebenen prozesses zu steigern, besteht darin, die spezifikationsgrenzen zu lockern:

Z wert tabelle excel berechnung 2015 08 07:

Oee gesamtanlagen effektivität excel vorlage We would like to show you a description here but the site won't allow us. Je größer die differenz zwischen osg und usg, desto mehr standardabweichungen lassen sich darin unterbringen. Z wert tabelle excel berechnung 2015 08 07: Sie erstellen mit den vorgefertigten excel vorlagen einen nachweis für den cmk wert oder / und den ppk wert. Die prozessfähigkeit cpk, ppk und die maschinenfähigkeit cmk beschreiben die fähigkeit ein definiertes ergebnis zu erzielen. Das einfachste mittel, um die prozessfähigkeit eines gegebenen prozesses zu steigern, besteht darin, die spezifikationsgrenzen zu lockern: Konfidenzintervall berechnen excel vorlage 2015 08 07.png: Stichprobe excel vorlage 2015 07 09.xls zum beitrag stichprobe berechnen: Scopri ricette, idee per la casa, consigli di stile e altre idee da provare. Konfidenzintervall berechnen excel vorlage 2015 08 07.xls zum beitag konfidenzintervall: